Официальное опубликование правовых актов
ОФИЦИАЛЬНОЕ ОПУБЛИКОВАНИЕ
Приказ Министерства природных ресурсов и экологии Российской Федерации, Федеральной службы охраны Российской Федерации от 07.05.2019 № 293/59
"Об охранной зоне национального парка "Государственный комплекс "Завидово"
(Зарегистрирован 26.06.2019 № 55049)
Номер опубликования: 0001201906260030
Дата опубликования: 26.06.2019
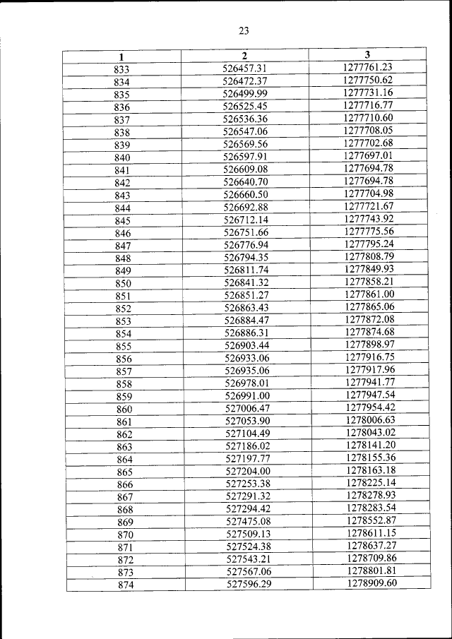
Страница №23 из 101:
Увеличить