Официальное опубликование правовых актов
ОФИЦИАЛЬНОЕ ОПУБЛИКОВАНИЕ
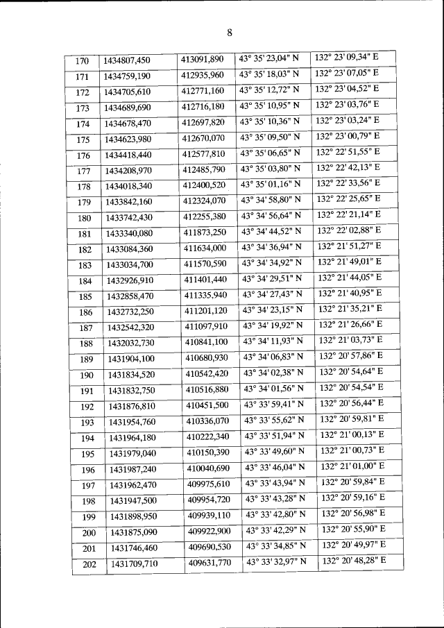
Приказ Министерства науки и высшего образования Российской Федерации от 29.04.2019 № 44н
"Об утверждении Положения о государственном природном заповеднике "Уссурийский" им. В.Л. Комарова Дальневосточного отделения Российской академии наук"
(Зарегистрирован 30.05.2019 № 54782)
Номер опубликования: 0001201905300057
Дата опубликования: 30.05.2019
Страница №30 из 56:
Увеличить