Официальное опубликование правовых актов
ОФИЦИАЛЬНОЕ ОПУБЛИКОВАНИЕ
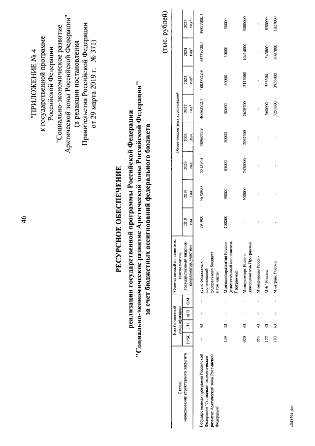
Постановление Правительства Российской Федерации от 29.03.2019 № 371
"О внесении изменений в государственную программу Российской Федерации "Социально-экономическое развитие Арктической зоны Российской Федерации"
Номер опубликования: 0001201904040023
Дата опубликования: 04.04.2019
Страница №47 из 64:
Увеличить