Официальное опубликование правовых актов
ОФИЦИАЛЬНОЕ ОПУБЛИКОВАНИЕ
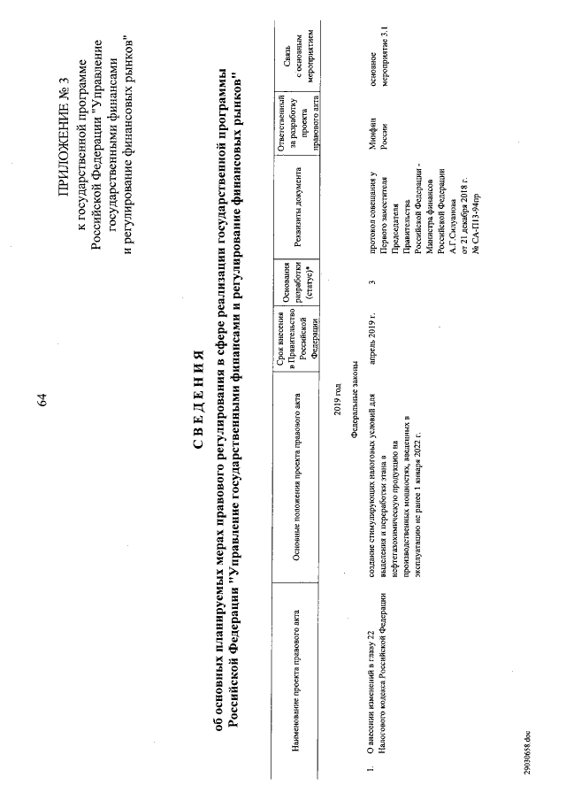
Постановление Правительства Российской Федерации от 29.03.2019 № 370
"О внесении изменений в государственную программу Российской Федерации "Управление государственными финансами и регулирование финансовых рынков"
Номер опубликования: 0001201904030011
Дата опубликования: 03.04.2019
Страница №65 из 147:
Увеличить