Официальное опубликование правовых актов
ОФИЦИАЛЬНОЕ ОПУБЛИКОВАНИЕ
Приказ Министерства культуры Российской Федерации от 14.01.2019 № 16
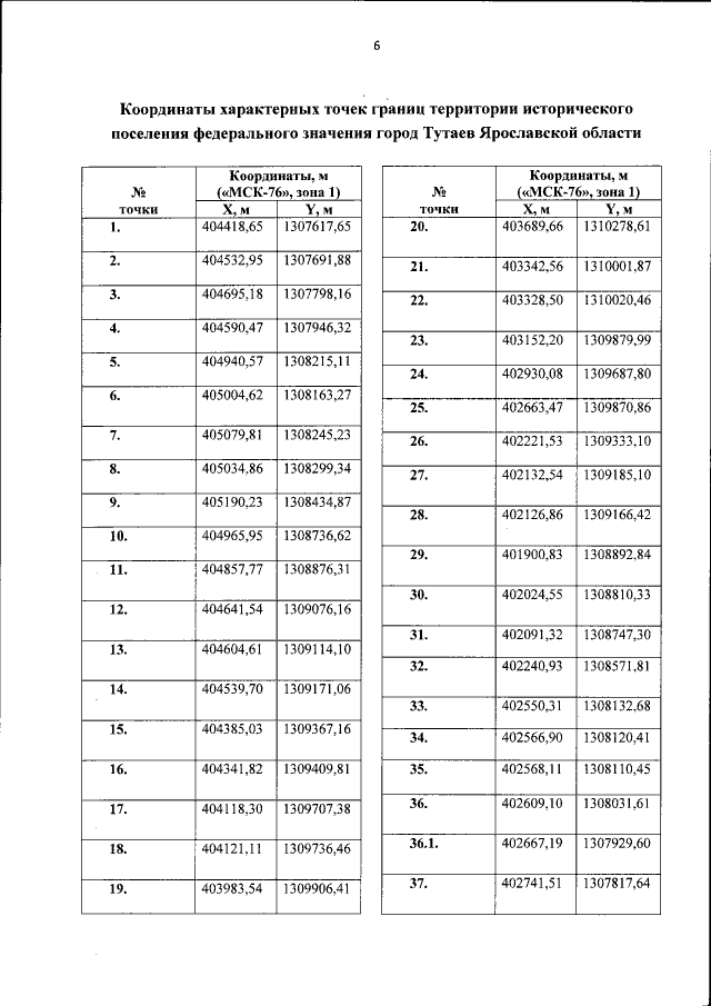
"Об утверждении предмета охраны, границ территории и требований к градостроительным регламентам в границах территории исторического поселения федерального значения город Тутаев Ярославской области"
(Зарегистрирован 20.03.2019 № 54105)
Номер опубликования: 0001201903210023
Дата опубликования: 21.03.2019
Страница №6 из 146:
Увеличить