Официальное опубликование правовых актов
ОФИЦИАЛЬНОЕ ОПУБЛИКОВАНИЕ
Приказ Министерства труда и социальной защиты Российской Федерации от 19.02.2019 № 91н
"Об утверждении профессионального стандарта "Электрослесарь по обслуживанию и ремонту оборудования на предприятиях атомной отрасли"
(Зарегистрирован 18.03.2019 № 54081)
Номер опубликования: 0001201903190017
Дата опубликования: 19.03.2019
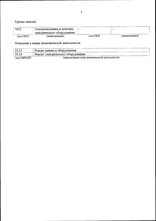
Страница №3 из 33:
Увеличить