Официальное опубликование правовых актов
ОФИЦИАЛЬНОЕ ОПУБЛИКОВАНИЕ
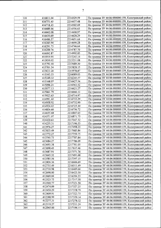
Приказ Министерства природных ресурсов и экологии Российской Федерации от 25.12.2018 № 682
"О внесении изменений в Положение о государственном природном заповеднике "Кологривский лес", утвержденное приказом Минприроды России от 21.03.2016 № 84"
(Зарегистрирован 22.01.2019 № 53498)
Номер опубликования: 0001201901240001
Дата опубликования: 24.01.2019
Страница №8 из 12:
Увеличить