Официальное опубликование правовых актов
ОФИЦИАЛЬНОЕ ОПУБЛИКОВАНИЕ
Приказ Министерства транспорта Российской Федерации от 17.12.2018 № 452
"Об установлении зон ограничения полетов"
(Зарегистрирован 15.01.2019 № 53362)
Номер опубликования: 0001201901160029
Дата опубликования: 16.01.2019
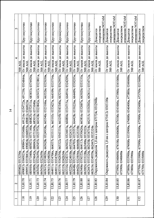
Страница №14 из 95:
Увеличить