Официальное опубликование правовых актов
ОФИЦИАЛЬНОЕ ОПУБЛИКОВАНИЕ
Приказ Федеральной антимонопольной службы от 19.12.2018 № 1819/18
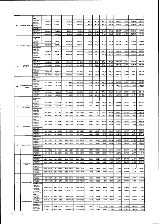
"Об утверждении предельных минимальных и максимальных уровней тарифов на услуги по передаче электрической энергии, оказываемые потребителям, не относящимся к населению и приравненным к нему категориям потребителей, по субъектам Российской Федерации на 2019 год"
(Зарегистрирован 27.12.2018 № 53213)
Номер опубликования: 0001201812290006
Дата опубликования: 29.12.2018
Страница №11 из 18:
Увеличить