Официальное опубликование правовых актов
ОФИЦИАЛЬНОЕ ОПУБЛИКОВАНИЕ
Приказ Министерства транспорта Российской Федерации от 19.11.2018 № 414
"О внесении изменений в пределы воздушного грузо-пассажирского постоянного многостороннего пункта пропуска через государственную границу Российской Федерации в международном аэропорту Уфа (Республика Башкортостан), утвержденные приказом Министерства транспорта Российской Федерации от 15 ноября 2017 г. № 488"
(Зарегистрирован 10.12.2018 № 52930)
Номер опубликования: 0001201812100042
Дата опубликования: 10.12.2018
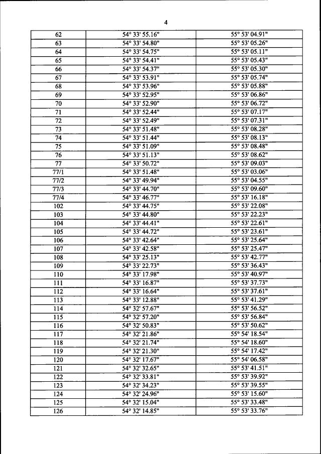
Страница №4 из 6:
Увеличить