Официальное опубликование правовых актов
ОФИЦИАЛЬНОЕ ОПУБЛИКОВАНИЕ
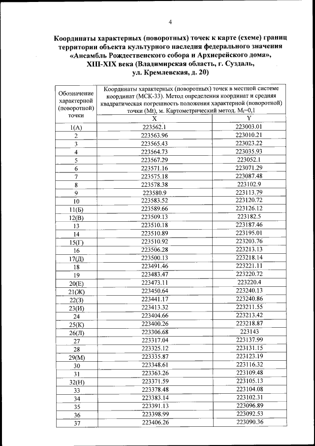
Приказ Министерства культуры Российской Федерации от 06.11.2018 № 1909
"Об утверждении границ и режима использования территории объекта культурного наследия федерального значения "Ансамбль Рождественского собора и Архиерейского дома", XIII-XIX века (Владимирская область, г. Суздаль, ул. Кремлевская, д. 20)"
(Зарегистрирован 26.11.2018 № 52783)
Номер опубликования: 0001201811270051
Дата опубликования: 27.11.2018
Страница №6 из 10:
Увеличить