Официальное опубликование правовых актов
ОФИЦИАЛЬНОЕ ОПУБЛИКОВАНИЕ
Приказ Министерства культуры Российской Федерации от 06.11.2018 № 1910
"О внесении изменений в приложение № 1 к приказу Минкультуры России от 01 сентября 2015 г. № 2324 "Об утверждении границ и режима использования территории объекта культурного наследия федерального значения "Ансамбль Казанского кремля, XV-XVIII вв."‚ расположенного по адресу: г. Казань, Республика Татарстан"
(Зарегистрирован 26.11.2018 № 52786)
Номер опубликования: 0001201811270050
Дата опубликования: 27.11.2018
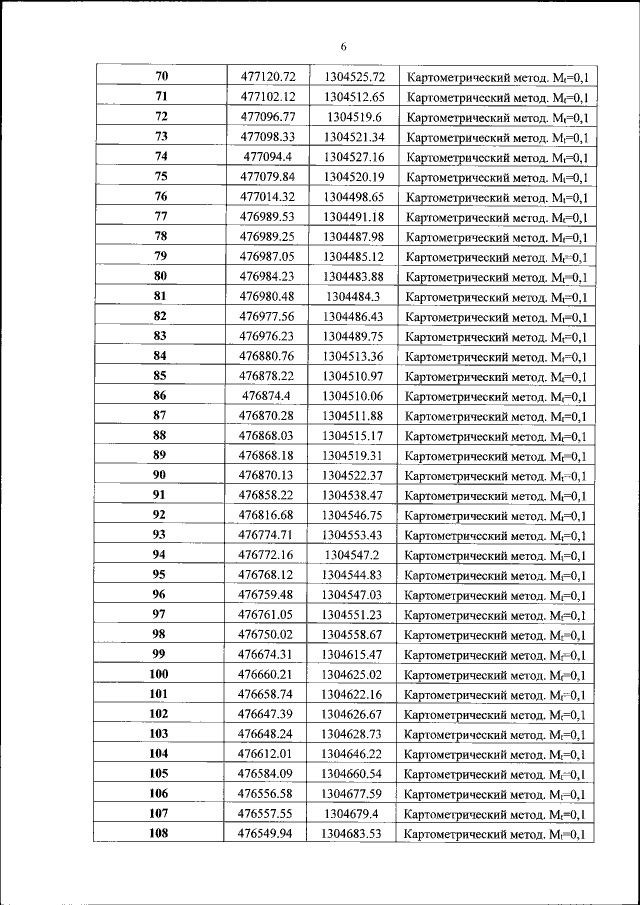
Страница №6 из 17:
Увеличить