Официальное опубликование правовых актов
ОФИЦИАЛЬНОЕ ОПУБЛИКОВАНИЕ
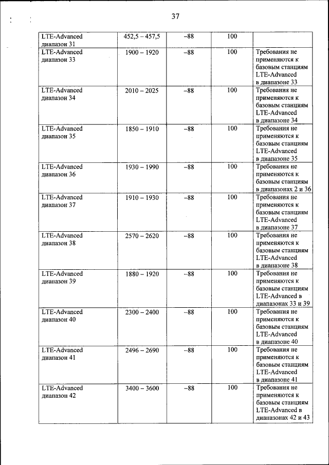
Приказ Министерства цифрового развития, связи и массовых коммуникаций Российской Федерации от 29.10.2018 № 572
"Об утверждении Правил применения базовых станций и ретрансляторов сетей подвижной радиотелефонной связи. Часть VI. Правила применения базовых станций и ретрансляторов сетей подвижной радиотелефонной связи стандарта LTE и его модификации LTE-Advanced"
(Зарегистрирован 26.11.2018 № 52780)
Номер опубликования: 0001201811270037
Дата опубликования: 27.11.2018
Страница №37 из 151:
Увеличить