Официальное опубликование правовых актов
ОФИЦИАЛЬНОЕ ОПУБЛИКОВАНИЕ
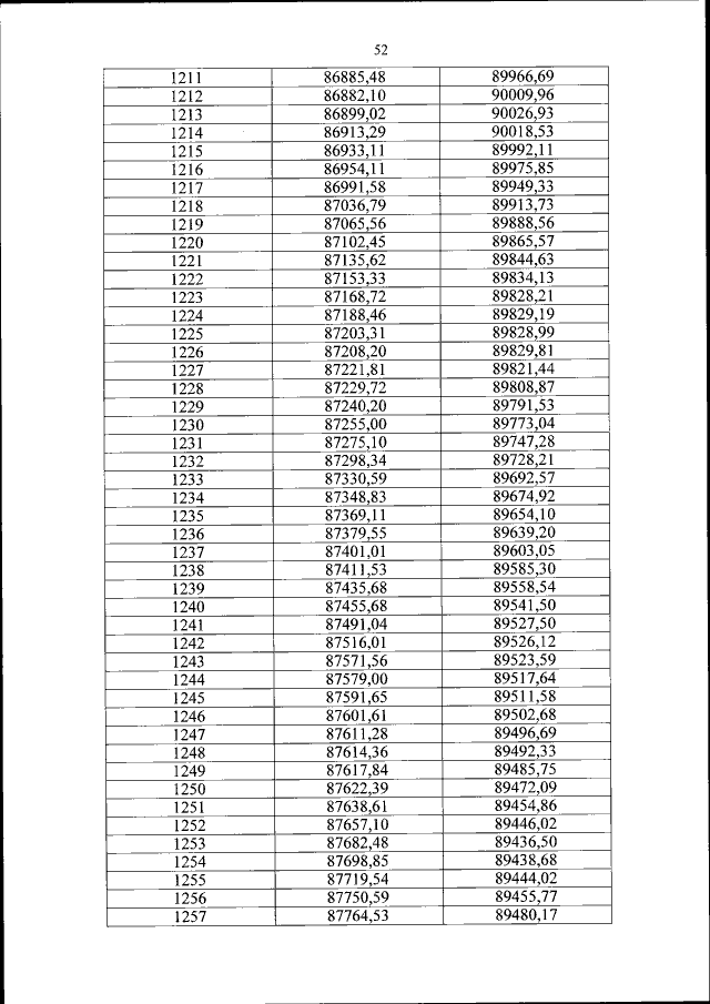
Приказ Министерства культуры Российской Федерации от 03.10.2018 № 1705
"О внесении изменений в приложение № 1 к приказу Минкультуры России от 18 октября 2016 г. № 2307 "Об утверждении границ и режима использования территории объекта культурного наследия федерального значения "Водоподводящая система Петергофа, 1720-1721 гг.‚ инж.-гидравлик Туволков В.Г.‚ 2-я пол. ХVIII в.‚ 1944-1948 гг.‚ 1970-е гг. (реставрация)"‚ расположенного по адресу: город Санкт-Петербург, Ленинградская область"
(Зарегистрирован 23.11.2018 № 52767)
Номер опубликования: 0001201811260024
Дата опубликования: 26.11.2018
Страница №52 из 207:
Увеличить