Приказ Федеральной службы исполнения наказаний от 29.05.2018 № 449
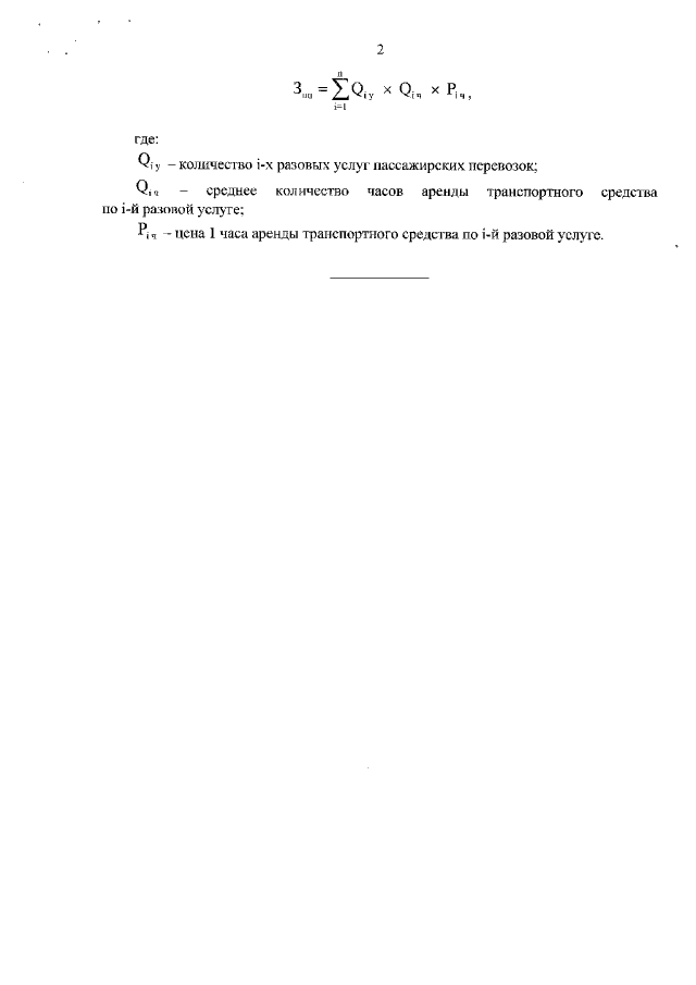
"Об утверждении порядка расчета нормативных затрат на оплату разовых услуг пассажирских перевозок при проведении совещаний ФСИН России, территориальных органов ФСИН России и федеральных казенных учреждений уголовно-исполнительной системы"
"Об утверждении порядка расчета нормативных затрат на оплату разовых услуг пассажирских перевозок при проведении совещаний ФСИН России, территориальных органов ФСИН России и федеральных казенных учреждений уголовно-исполнительной системы"
Номер опубликования: 0001201807230013
Дата опубликования:
23.07.2018
