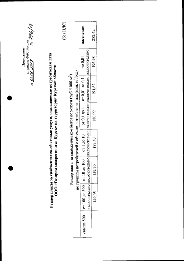
Приказ Федеральной антимонопольной службы от 13.06.2018 № 796/18
"Об утверждении размера платы за снабженческо-сбытовые услуги, оказываемые потребителям газа ООО "Газпром межрегионгаз Курск" на территории Курской области"
(Зарегистрирован 02.07.2018 № 51509)
"Об утверждении размера платы за снабженческо-сбытовые услуги, оказываемые потребителям газа ООО "Газпром межрегионгаз Курск" на территории Курской области"
(Зарегистрирован 02.07.2018 № 51509)
Номер опубликования: 0001201807030045
Дата опубликования:
03.07.2018
