Официальное опубликование правовых актов
ОФИЦИАЛЬНОЕ ОПУБЛИКОВАНИЕ
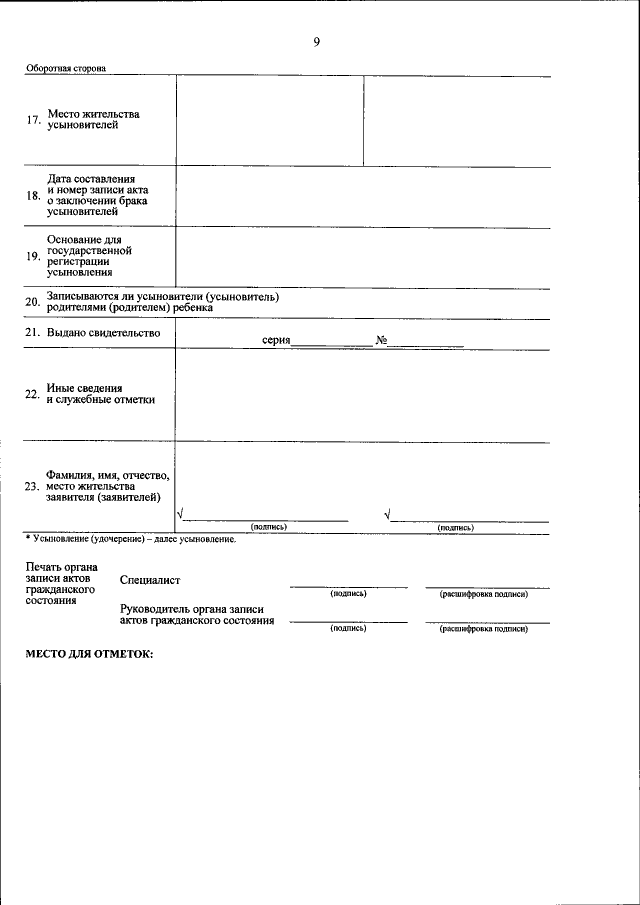
Приказ Министерства юстиции Российской Федерации от 19.06.2018 № 123
"Об утверждении форм бланков записей актов гражданского состояния и форм бланков свидетельств о государственной регистрации актов гражданского состояния"
(Зарегистрирован 29.06.2018 № 51484)
Номер опубликования: 0001201807020034
Дата опубликования: 02.07.2018
Страница №11 из 25:
Увеличить