Официальное опубликование правовых актов
ОФИЦИАЛЬНОЕ ОПУБЛИКОВАНИЕ
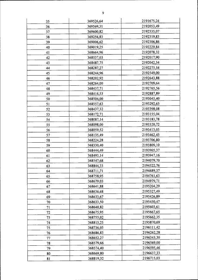
Приказ Министерства природных ресурсов и экологии Российской Федерации от 19.04.2018 № 163
"Об утверждении Положения о Приокско-Террасном государственном природном биосферном заповеднике"
(Зарегистрирован 15.05.2018 № 51102)
Номер опубликования: 0001201805160013
Дата опубликования: 16.05.2018
Страница №10 из 16:
Увеличить