Приказ Федерального агентства по техническому регулированию и метрологии от 19.03.2018 № 500
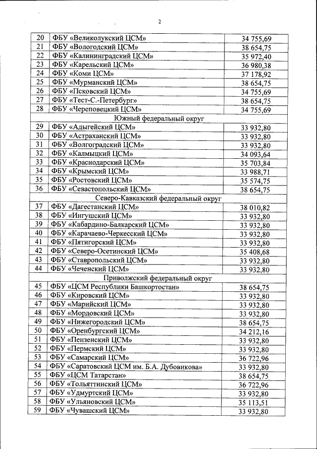
"О внесении изменений в приложение № 3 к приказу Федерального агентства по техническому регулированию и метрологии от 11 сентября 2017 г. № 1914 "Об утверждении максимально допустимых нормативов трудоемкости по передаче единиц величин от государственных эталонов единиц величин и поверки средств измерений, уровня рентабельности, размера средней заработной платы специалистов и размера косвенных расходов в отношении федеральных бюджетных учреждений - государственных региональных центров стандартизации, метрологии и испытаний, находящихся в ведении Федерального агентства по техническому регулированию и метрологии и осуществляющих поверку средств измерений по регулируемым ценам"
(Зарегистрирован 09.04.2018 № 50679)
"О внесении изменений в приложение № 3 к приказу Федерального агентства по техническому регулированию и метрологии от 11 сентября 2017 г. № 1914 "Об утверждении максимально допустимых нормативов трудоемкости по передаче единиц величин от государственных эталонов единиц величин и поверки средств измерений, уровня рентабельности, размера средней заработной платы специалистов и размера косвенных расходов в отношении федеральных бюджетных учреждений - государственных региональных центров стандартизации, метрологии и испытаний, находящихся в ведении Федерального агентства по техническому регулированию и метрологии и осуществляющих поверку средств измерений по регулируемым ценам"
(Зарегистрирован 09.04.2018 № 50679)
Номер опубликования: 0001201804100033
Дата опубликования:
10.04.2018
