Официальное опубликование правовых актов
ОФИЦИАЛЬНОЕ ОПУБЛИКОВАНИЕ
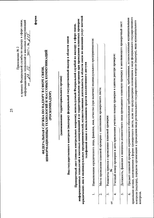
Приказ Федеральной службы по надзору в сфере связи, информационных технологий и массовых коммуникаций от 24.10.2017 № 215
"Об утверждении форм проверочных листов (списков контрольных вопросов), используемых Федеральной службой по надзору в сфере связи, информационных технологий и массовых коммуникаций и ее территориальными органами при проведении плановых проверок при осуществлении федерального государственного надзора в области связи"
(Зарегистрирован 28.02.2018 № 50169)
Номер опубликования: 0001201803010032
Дата опубликования: 01.03.2018
Страница №25 из 362:
Увеличить