Официальное опубликование правовых актов
ОФИЦИАЛЬНОЕ ОПУБЛИКОВАНИЕ
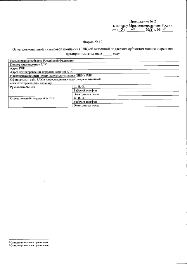
Приказ Министерства экономического развития Российской Федерации от 09.01.2018 № 6
"О внесении изменений в Порядок, сроки и формы представления информации, предусмотренной пунктами 5 и 6 Правил проведения акционерным обществом "Федеральная корпорация по развитию малого и среднего предпринимательства" мониторинга оказания федеральными органами исполнительной власти, органами исполнительной власти субъектов Российской Федерации, органами местного самоуправления поддержки субъектам малого и среднего предпринимательства и организациям, образующим инфраструктуру поддержки субъектов малого и среднего предпринимательства, и мониторинга оказания организациями, образующими инфраструктуру поддержки субъектов малого и среднего предпринимательства, поддержки субъектам малого и среднего предпринимательства, а также состав такой информации, утвержденный приказом Минэкономразвития России от 1 марта 2017 г. № 91"
(Зарегистрирован 02.02.2018 № 49876)
Номер опубликования: 0001201802050013
Дата опубликования: 05.02.2018
Страница №58 из 59:
Увеличить