Официальное опубликование правовых актов
ОФИЦИАЛЬНОЕ ОПУБЛИКОВАНИЕ
Приказ Министерства внутренних дел Российской Федерации от 01.11.2017 № 827
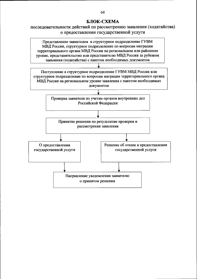
"Об утверждении Административного регламента Министерства внутренних дел Российской Федерации по предоставлению государственной услуги по выдаче разрешений на привлечение и использование иностранных работников, а также разрешений на работу иностранным гражданам и лицам без гражданства"
(Зарегистрирован 23.01.2018 № 49725)
Номер опубликования: 0001201801240014
Дата опубликования: 24.01.2018
Страница №64 из 80:
Увеличить