Официальное опубликование правовых актов
ОФИЦИАЛЬНОЕ ОПУБЛИКОВАНИЕ
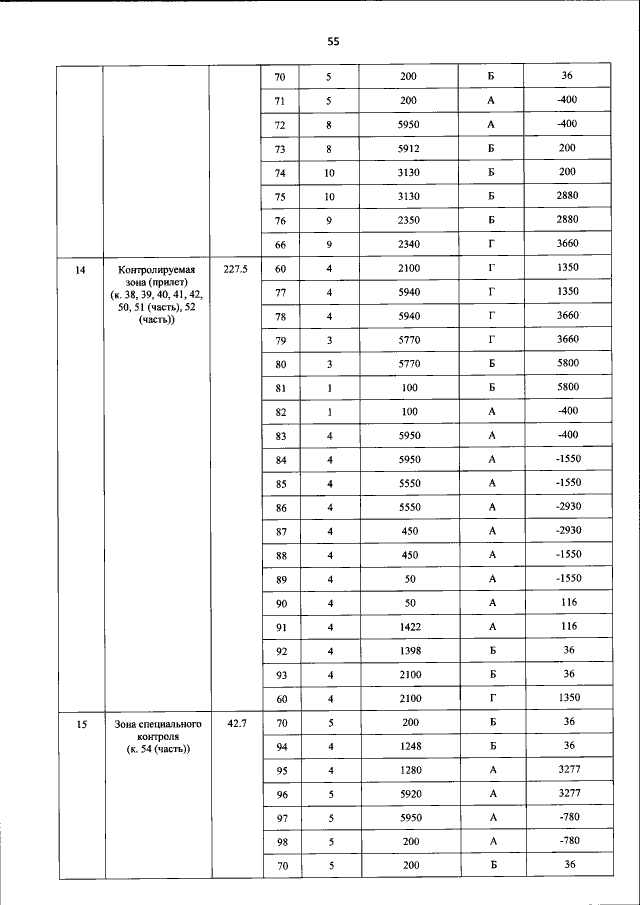
Приказ Министерства транспорта Российской Федерации от 30.11.2017 № 504
"Об утверждении пределов воздушного грузо-пассажирского постоянного многостороннего пункта пропуска через государственную границу Российской Федерации в международном аэропорту Москва (Внуково)"
(Зарегистрирован 18.12.2017 № 49280)
Номер опубликования: 0001201712180055
Дата опубликования: 18.12.2017
Страница №56 из 65:
Увеличить