Официальное опубликование правовых актов
ОФИЦИАЛЬНОЕ ОПУБЛИКОВАНИЕ
Приказ Министерства Российской Федерации по делам Северного Кавказа от 22.11.2017 № 191
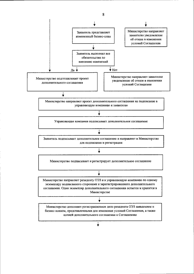
"Об утверждении Административного регламента предоставления Министерством Российской Федерации по делам Северного Кавказа государственной услуги "Подготовка к заключению соглашения об осуществлении туристско-рекреационной деятельности и осуществление регистрации юридических лиц и индивидуальных предпринимателей в качестве резидентов туристско-рекреационных особых экономических зон"
(Зарегистрирован 12.12.2017 № 49218)
Номер опубликования: 0001201712130042
Дата опубликования: 13.12.2017
Страница №42 из 44:
Увеличить