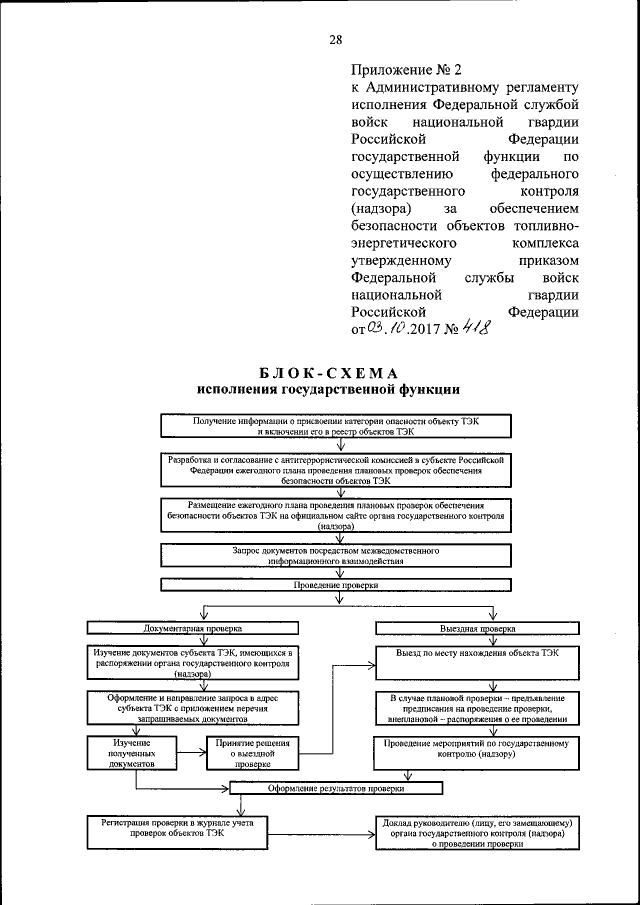
Приказ Федеральной службы войск национальной гвардии Российской Федерации от 03.10.2017 № 418
"Об утверждении Административного регламента исполнения Федеральной службой войск национальной гвардии Российской Федерации государственной функции по осуществлению федерального государственного контроля (надзора) за обеспечением безопасности объектов топливно-эиергетического комплекса"
(Зарегистрирован 30.10.2017 № 48730)
"Об утверждении Административного регламента исполнения Федеральной службой войск национальной гвардии Российской Федерации государственной функции по осуществлению федерального государственного контроля (надзора) за обеспечением безопасности объектов топливно-эиергетического комплекса"
(Зарегистрирован 30.10.2017 № 48730)
Номер опубликования: 0001201710310052
Дата опубликования:
31.10.2017
