Официальное опубликование правовых актов
ОФИЦИАЛЬНОЕ ОПУБЛИКОВАНИЕ
Приказ Министерства культуры Российской Федерации от 08.09.2017 № 1498
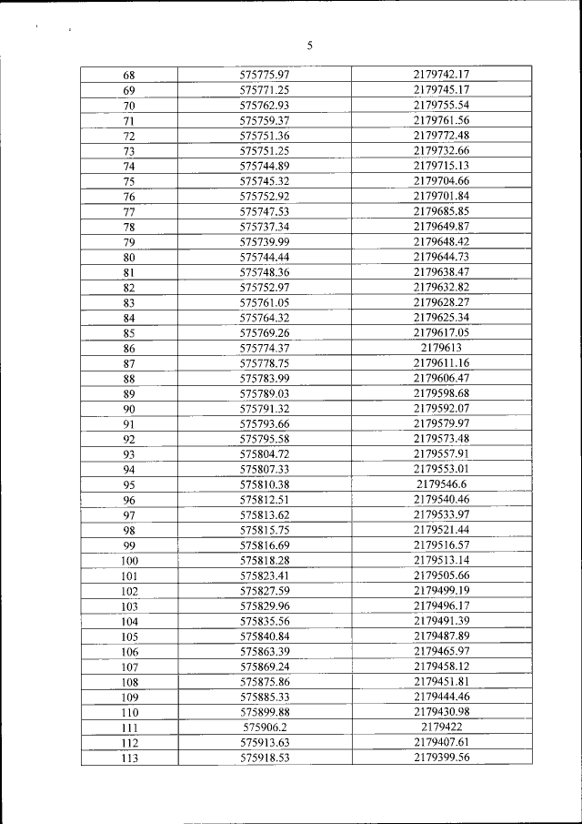
"О внесении изменений в приложение № 1 к приказу Министерства культуры Российской Федерации от 08 июня 2016 г. № 1273 "Об утверждении границ зон охраны объекта культурного наследия федерального значения "Церкви Воскресения и Ивана Милостивого на Мячине, ХII-ХVI вв."‚ включенного в Список всемирного наследия, а также режимов использования земель и требований к градостроительным регламентам в границах данных зон"
(Зарегистрирован 24.10.2017 № 48642)
Номер опубликования: 0001201710240025
Дата опубликования: 24.10.2017
Страница №5 из 16:
Увеличить