Официальное опубликование правовых актов
ОФИЦИАЛЬНОЕ ОПУБЛИКОВАНИЕ
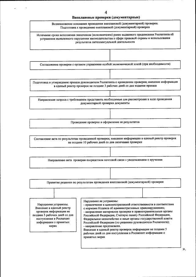
Приказ Министерства экономического развития Российской Федерации от 28.07.2017 № 386
"О внесении изменений в некоторые приказы Министерства экономического развития Российской Федерации в части уточнения оснований для проведения внеплановой проверки"
(Зарегистрирован 17.10.2017 № 48570)
Номер опубликования: 0001201710180023
Дата опубликования: 18.10.2017
Страница №5 из 9:
Увеличить