Официальное опубликование правовых актов
ОФИЦИАЛЬНОЕ ОПУБЛИКОВАНИЕ
Приказ Министерства культуры Российской Федерации от 29.08.2017 № 1458
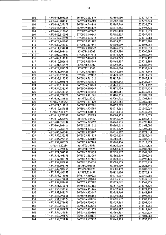
"О включении выявленного объекта культурного наследия "Археологический комплекс "Фанагория", VI в. до н.э. -XI в. н.э. (Краснодарский край, Темрюкский район, участок южного берега Таманского залива между поселками Сенной и Приморский) и выявленных объектов культурного наследия в его составе в единый государственный реестр объектов культурного наследия (памятников истории и культуры) народов Российской Федерации в качестве объектов культурного наследия федерального значения и утверждении границ их территории"
(Зарегистрирован 21.09.2017 № 48273)
Номер опубликования: 0001201709220007
Дата опубликования: 22.09.2017
Страница №36 из 37:
Увеличить