Официальное опубликование правовых актов
ОФИЦИАЛЬНОЕ ОПУБЛИКОВАНИЕ
Приказ Министерства экономического развития Российской Федерации от 04.04.2017 № 166
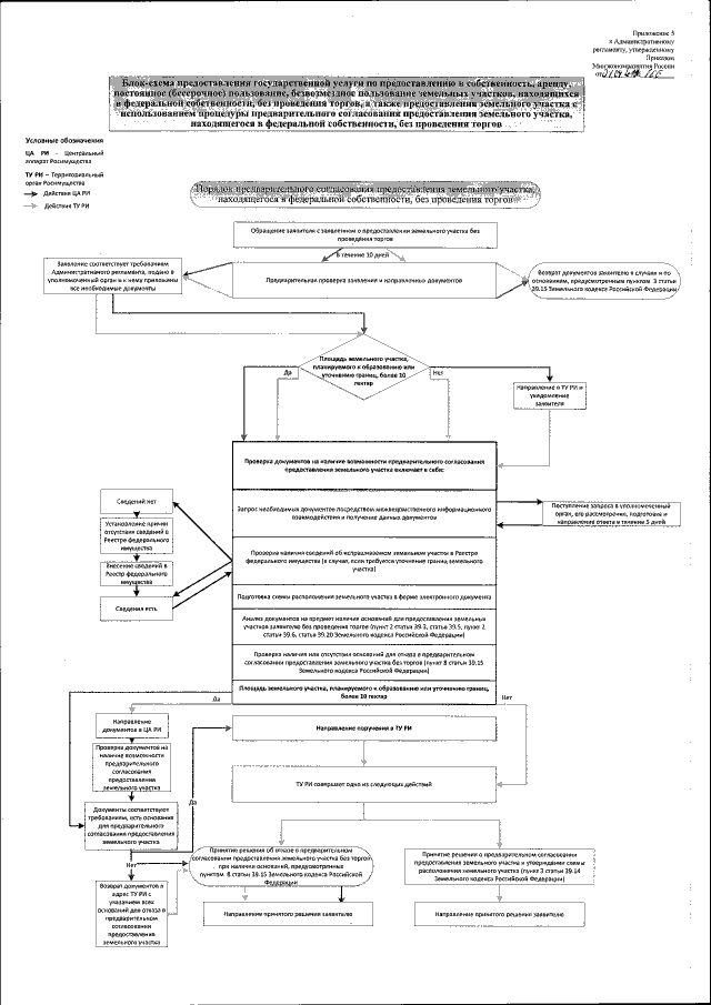
"Об утверждении Административного регламента по предоставлению Федеральным агентством по управлению государственным имуществом государственной услуги по предоставлению в собственность, аренду, постоянное (бессрочное) пользование, безвозмездное пользование земельных участков, находящихся в федеральной собственности, без проведения торгов"
(Зарегистрирован 20.09.2017 № 48258)
Номер опубликования: 0001201709210022
Дата опубликования: 21.09.2017
Страница №82 из 83:
Увеличить