Официальное опубликование правовых актов
ОФИЦИАЛЬНОЕ ОПУБЛИКОВАНИЕ
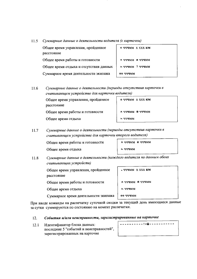
Добавление 1В к приложению к Европейскому соглашению, касающемуся работы экипажей транспортных средств, производящих международные автомобильные перевозки (ЕСТР)
(вступило в силу для Российской Федерации 16 июня 2006 года)
Номер опубликования: 0001201709130009
Дата опубликования: 13.09.2017
Страница №537 из 734:
Увеличить