Официальное опубликование правовых актов
ОФИЦИАЛЬНОЕ ОПУБЛИКОВАНИЕ
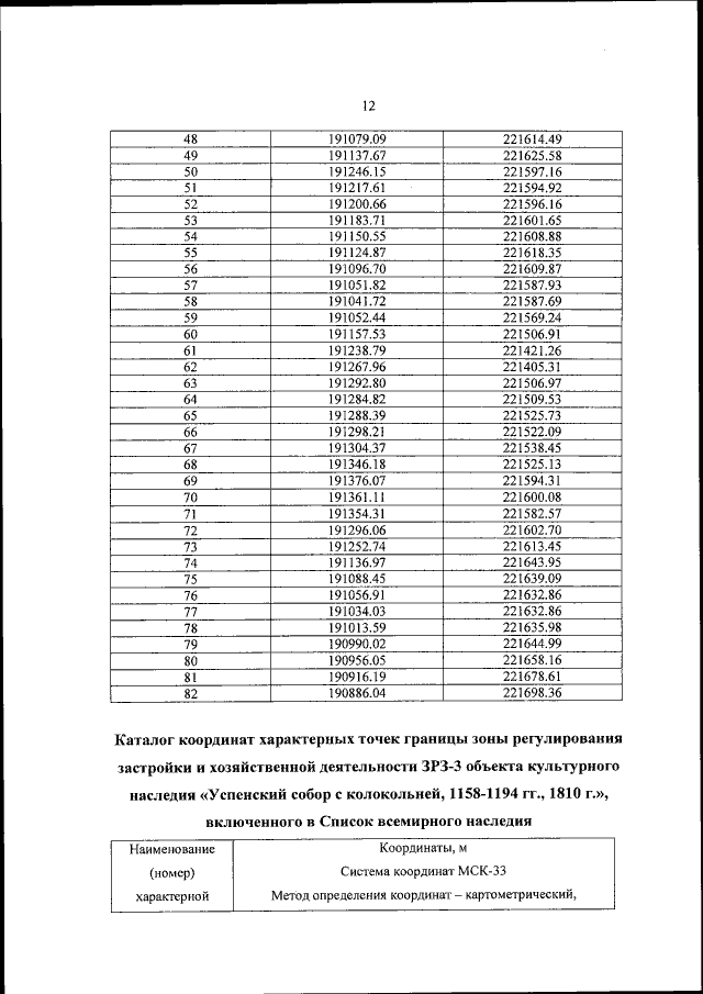
Приказ Министерства культуры Российской Федерации от 27.07.2017 № 1254
"Об утверждении границ зон охраны объекта культурного наследия федерального значения "Успенский собор с колокольней, 1158-1194 гг.‚ 1810 г."‚ включенного в Список всемирного наследия, а также особых режимов использования земель и требований к градостроительным регламентам в границах данных зон"
(Зарегистрирован 17.08.2017 № 47850)
Номер опубликования: 0001201708180030
Дата опубликования: 18.08.2017
Страница №12 из 41:
Увеличить