Официальное опубликование правовых актов
ОФИЦИАЛЬНОЕ ОПУБЛИКОВАНИЕ
Приказ Министерства культуры Российской Федерации от 21.07.2017 № 1232
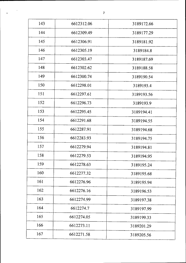
"О внесении изменений в приложение № 2 к приказу Министерства культуры Российской Федерации от 08 июля 2015 г. № 1942 "О включении выявленных объектов культурного наследия в единый государственный реестр объектов культурного наследия (памятников истории и культуры) народов Российской Федерации в качестве объектов культурного наследия федерального значения в составе объекта культурного наследия федерального значения "Дворец со службами и парком", ХVIII - начало ХХ века (Ленинградская область, Ломоносовский район, пос. Ропша) и утверждении границы их территории"
(Зарегистрирован 16.08.2017 № 47823)
Номер опубликования: 0001201708170022
Дата опубликования: 17.08.2017
Страница №17 из 23:
Увеличить