Официальное опубликование правовых актов
ОФИЦИАЛЬНОЕ ОПУБЛИКОВАНИЕ
Приказ Федеральной службы государственной регистрации, кадастра и картографии от 02.05.2017 № п/0203
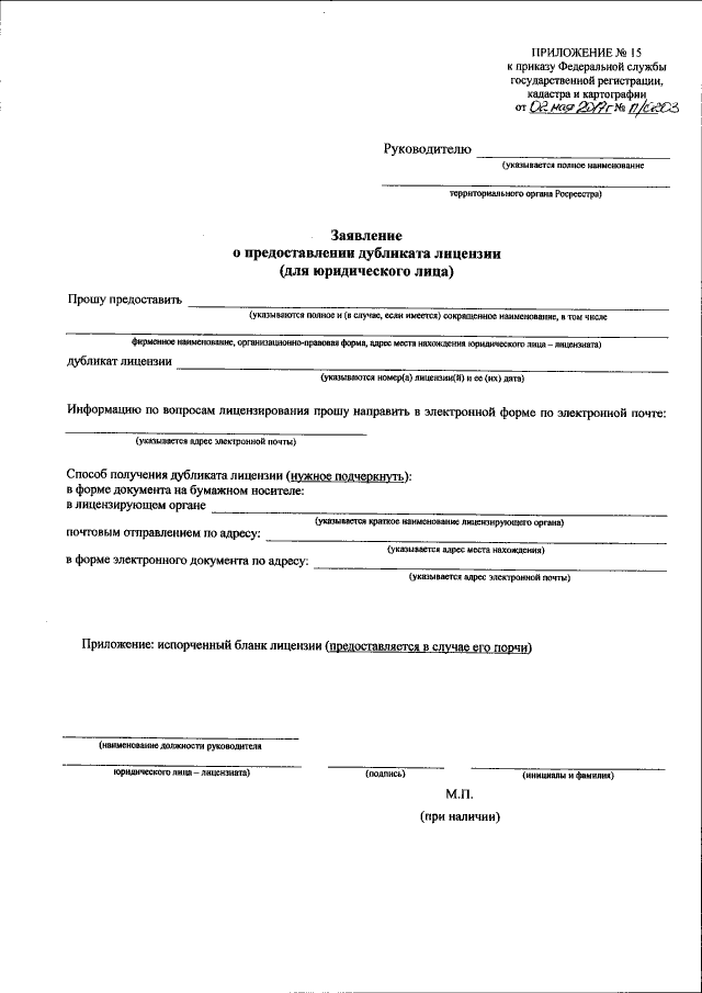
"Об утверждении форм документов, используемых Федеральной службой государственной регистрации, кадастра и картографии в процессе лицензирования геодезической и картографической деятельности (за исключением указанных видов деятельности, осуществляемых личным составом Вооруженных Сил Российской Федерации в целях обеспечения обороны Российской Федерации, а также при осуществлении градостроительной и кадастровой деятельности, (недропользования), в результате которой осуществляются создание (обновление) государственных топографических карт или государственных топографических планов, государственных геодезических сетей, государственных нивелирных сетей и государственных гравиметрических сетей, геодезических сетей специального назначения, в том числе сетей дифференциальных геодезических станций, определение параметров фигуры Земли и гравитационного поля в этих целях, установление, изменение и уточнение прохождения государственной границы Российской Федерации, а также установление и изменение границ между субъектами Российской Федерации и границ муниципальных образований"
(Зарегистрирован 01.08.2017 № 47625)
Номер опубликования: 0001201708020023
Дата опубликования: 02.08.2017
Страница №29 из 33:
Увеличить