Официальное опубликование правовых актов
ОФИЦИАЛЬНОЕ ОПУБЛИКОВАНИЕ
Приказ Министерства культуры Российской Федерации от 31.05.2017 № 891
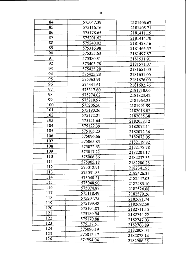
"О внесении изменений в приложение № 1 к приказу Министерства культуры Российской Федерации от 1 сентября 2015 г. № 2322 "Об утверждении границ зон охраны объекта культурного наследия федерального значения "Церковь Спаса в Нередицах, 1198 г."‚ включенного в Список всемирного наследия, а также требований к режимам использования земель и градостроительным регламентам в границах данных зон"
(Зарегистрирован 26.06.2017 № 47173)
Номер опубликования: 0001201706270047
Дата опубликования: 27.06.2017
Страница №10 из 12:
Увеличить