Официальное опубликование правовых актов
ОФИЦИАЛЬНОЕ ОПУБЛИКОВАНИЕ
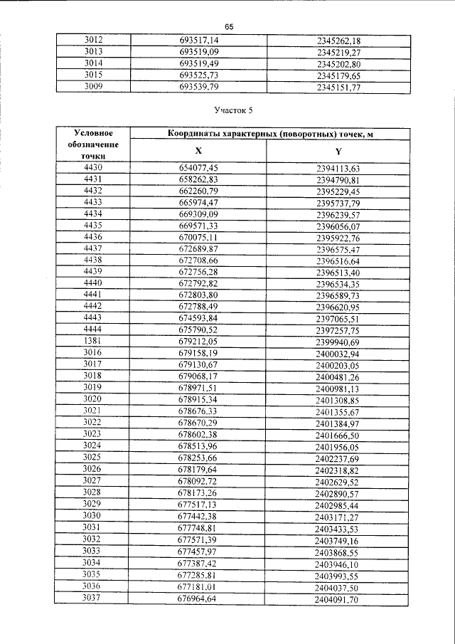
Приказ Министерства природных ресурсов и экологии Российской Федерации от 03.04.2017 № 146
"Об утверждении Положения о национальном парке "Онежское Поморье"
(Зарегистрирован 29.05.2017 № 46862)
Номер опубликования: 0001201705300052
Дата опубликования: 30.05.2017
Страница №75 из 190:
Увеличить