Официальное опубликование правовых актов
ОФИЦИАЛЬНОЕ ОПУБЛИКОВАНИЕ
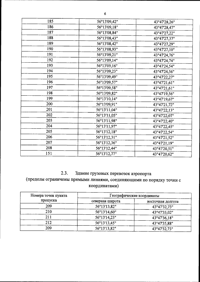
Приказ Министерства транспорта Российской Федерации от 18.04.2017 № 151
"Об открытии воздушного грузо-пассажирского постоянного многостороннего пункта пропуска через государственную границу Российской Федерации в международном аэропорту Нижний Новгород (Стригино) (Нижегородская область)"
(Зарегистрирован 12.05.2017 № 46706)
Номер опубликования: 0001201705150048
Дата опубликования: 15.05.2017
Страница №8 из 17:
Увеличить