Официальное опубликование правовых актов
ОФИЦИАЛЬНОЕ ОПУБЛИКОВАНИЕ
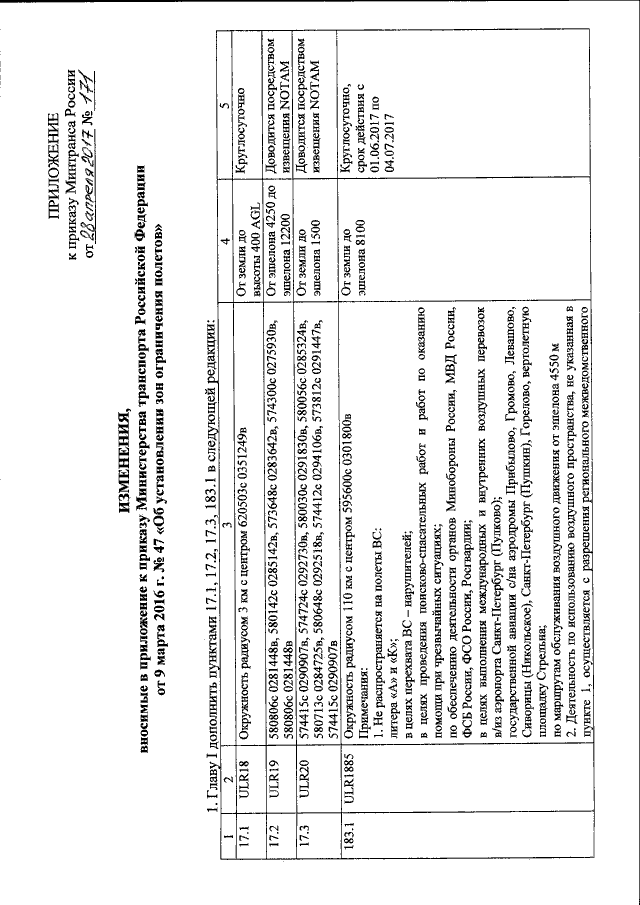
Приказ Министерства транспорта Российской Федерации от 28.04.2017 № 171
"О внесении изменений в приложение к приказу Министерства транспорта Российской Федерации от 9 марта 2016 г. № 47 "Об установлении зон ограничения полетов"
(Зарегистрирован 12.05.2017 № 46687)
Номер опубликования: 0001201705150046
Дата опубликования: 15.05.2017
Страница №2 из 7:
Увеличить