Официальное опубликование правовых актов
ОФИЦИАЛЬНОЕ ОПУБЛИКОВАНИЕ
Приказ Министерства экономического развития Российской Федерации от 01.03.2017 № 91
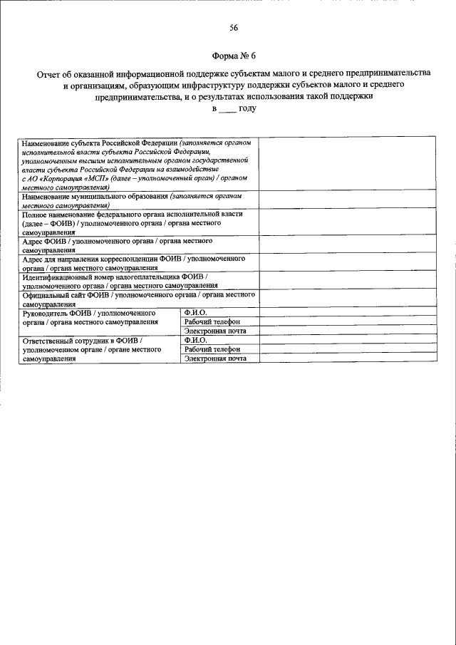
"Об утверждении Порядка, сроков и форм представления информации, предусмотренной пунктами 5 и 6 Правил проведения акционерным обществом "Федеральная корпорация по развитию малого и среднего предпринимательства" мониторинга оказания федеральными органами исполнительной власти, органами исполнительной власти субъектов Российской Федерации, органами местного самоуправления поддержки субъектам малого и среднего предпринимательства и организациям, образующим инфраструктуру поддержки субъектов малого и среднего предпринимательства, и мониторинга оказания организациями, образующими инфраструктуру поддержки субъектов малого и среднего предпринимательства, поддержки субъектам малого и среднего предпринимательства, а также состава такой информации"
(Зарегистрирован 27.03.2017 № 46144)
Номер опубликования: 0001201703280048
Дата опубликования: 28.03.2017
Страница №63 из 95:
Увеличить