Официальное опубликование правовых актов
ОФИЦИАЛЬНОЕ ОПУБЛИКОВАНИЕ
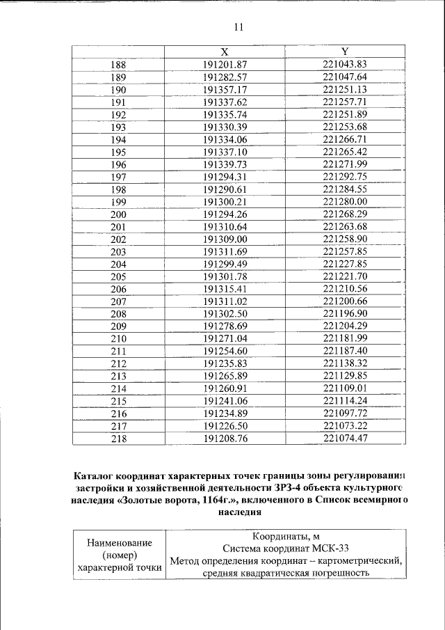
Приказ Министерства культуры Российской Федерации от 01.03.2017 № 231
"Об утверждении границ зон охраны объекта культурного наследия федерального значения "Золотые ворота, 1164 г.", включенного в Список всемирного наследия, а также особых режимов использования земель и требований к градостроительным регламентам в границах данных зон"
(Зарегистрирован 23.03.2017 № 46106)
Номер опубликования: 0001201703240001
Дата опубликования: 24.03.2017
Страница №13 из 32:
Увеличить