Приказ Министерства транспорта Российской Федерации от 20.02.2017 № 61
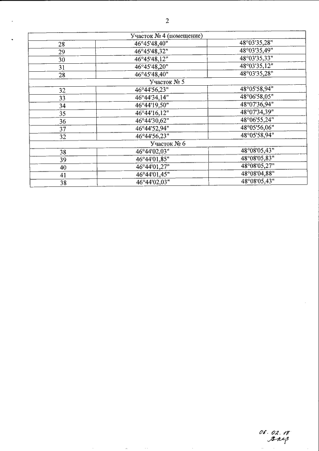
"Об утверждении пределов железнодорожного грузо-пассажирского постоянного многостороннего пункта пропуска через государственную границу Российской Федерации Аксарайский (Астраханская область)"
(Зарегистрирован 20.03.2017 № 46044)
"Об утверждении пределов железнодорожного грузо-пассажирского постоянного многостороннего пункта пропуска через государственную границу Российской Федерации Аксарайский (Астраханская область)"
(Зарегистрирован 20.03.2017 № 46044)
Номер опубликования: 0001201703220002
Дата опубликования:
22.03.2017
