Официальное опубликование правовых актов
ОФИЦИАЛЬНОЕ ОПУБЛИКОВАНИЕ
Приказ Министерства транспорта Российской Федерации от 28.12.2016 № 423
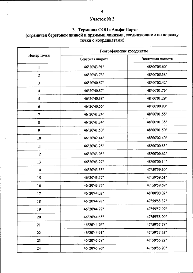
"Об открытии морского грузо-пассажирского постоянного многостороннего пункта пропуска через государственную границу Российской Федерации в морском порту Астрахань (Астраханская область)"
(Зарегистрирован 25.01.2017 № 45387)
Номер опубликования: 0001201701260037
Дата опубликования: 26.01.2017
Страница №6 из 16:
Увеличить