Официальное опубликование правовых актов
ОФИЦИАЛЬНОЕ ОПУБЛИКОВАНИЕ
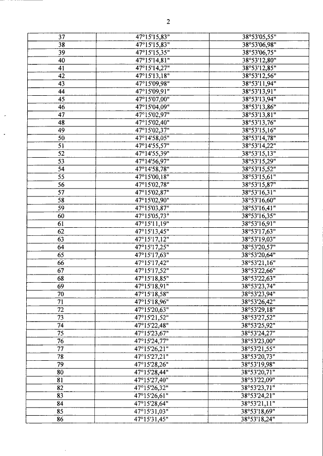
Приказ Министерства транспорта Российской Федерации от 19.12.2016 № 393
"Об утверждении пределов железнодорожного грузового постоянного многостороннего пункта пропуска через государственную границу Российской Федерации Марцево (Ростовская область)"
(Зарегистрирован 20.01.2017 № 45315)
Номер опубликования: 0001201701230002
Дата опубликования: 23.01.2017
Страница №3 из 5:
Увеличить