Официальное опубликование правовых актов
ОФИЦИАЛЬНОЕ ОПУБЛИКОВАНИЕ
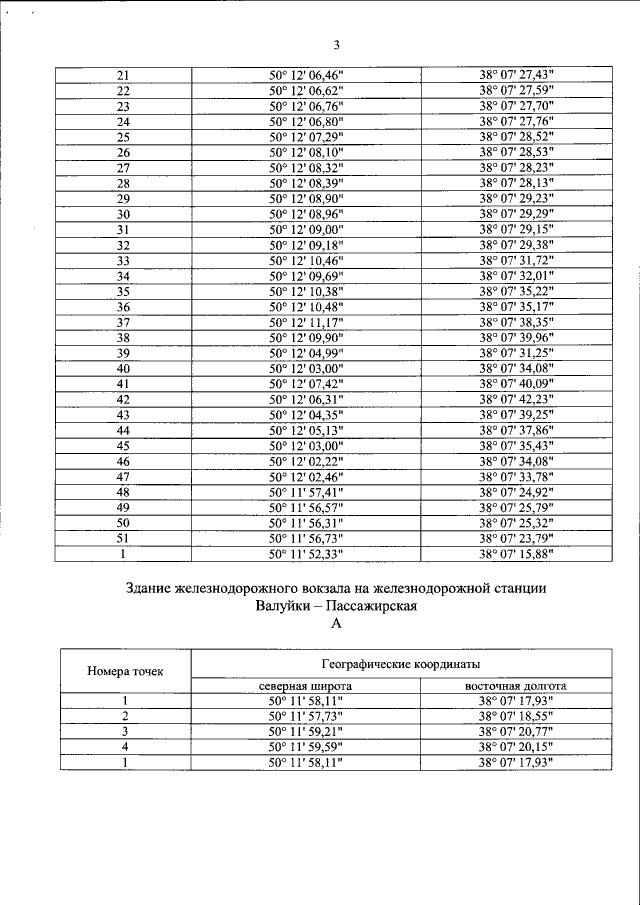
Приказ Министерства транспорта Российской Федерации от 19.12.2016 № 392
"Об утверждении пределов железнодорожного грузо-пассажирского постоянного многостороннего пункта пропуска через государственную границу Российской Федерации Валуйки (Белгородская область)"
(Зарегистрирован 19.01.2017 № 45307)
Номер опубликования: 0001201701200036
Дата опубликования: 20.01.2017
Страница №4 из 6:
Увеличить