Официальное опубликование правовых актов
ОФИЦИАЛЬНОЕ ОПУБЛИКОВАНИЕ
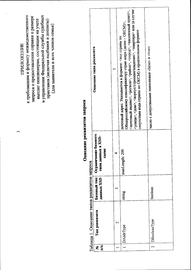
Приказ Министерства юстиции Российской Федерации от 28.12.2016 № 322
"Об определении требований к форматам предоставления документов и сведений, предусмотренных пунктами 76-79, 81, 82 перечня документов и сведений, находящихся в распоряжении отдельных федеральных органов исполнительной власти и необходимых для предоставления государственных и муниципальных услуг исполнительным органам государственной власти субъектов Российской Федерации и органам местного самоуправления, утвержденного распоряжением Правительства Российской Федерации от 01.11.2016 № 2326-р"
(Зарегистрирован 10.01.2017 № 45137)
Номер опубликования: 0001201701100013
Дата опубликования: 10.01.2017
Страница №25 из 34:
Увеличить