Официальное опубликование правовых актов
ОФИЦИАЛЬНОЕ ОПУБЛИКОВАНИЕ
Приказ Министерства культуры Российской Федерации от 22.11.2016 № 2558
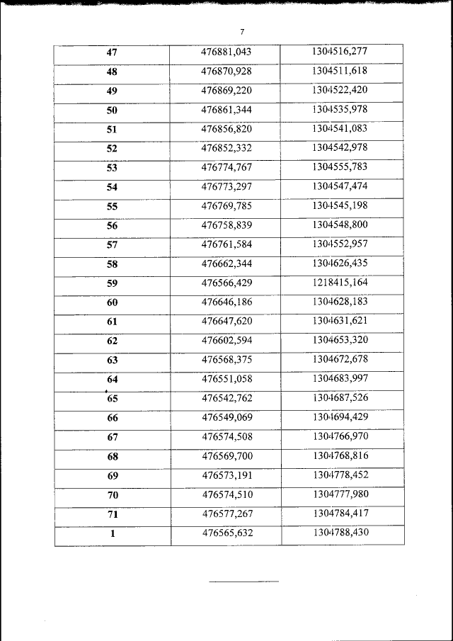
"О включении выявленных объектов культурного наследия в единый государственный реестр объектов культурного наследия (памятников истории и культуры) народов Российской Федерации в качестве объектов культурного наследия федерального значения в составе объекта культурного наследия федерального значения "Ансамбль Казанского Кремля", ХV - первая четверть ХХ века (Республика Татарстан‚ г. Казань, Кремль) и утверждении границ их территории"
(Зарегистрирован 14.12.2016 № 44713)
Номер опубликования: 0001201612150026
Дата опубликования: 15.12.2016
Страница №14 из 14:
Увеличить