Официальное опубликование правовых актов
ОФИЦИАЛЬНОЕ ОПУБЛИКОВАНИЕ
Приказ Министерства промышленности и торговли Российской Федерации от 26.10.2016 № 3821
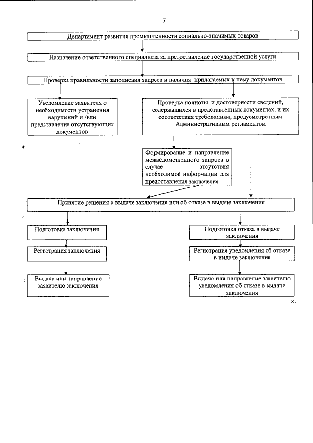
"О внесении изменений в приказ Министерства промышленности и торговли Российской Федерации от 12 марта 2013 г. № 309 "Об утверждении Административного регламента Министерства промышленности и торговли Российской Федерации по предоставлению государственной услуги по выдаче заключения, прилагаемого к заявке на государственную регистрацию наименования места происхождения товара и на предоставление исключительного права на такое наименование, а также к заявке на предоставление исключительного права на ранее зарегистрированное наименование места происхождения товара"
(Зарегистрирован 07.11.2016 № 44257)
Номер опубликования: 0001201611080020
Дата опубликования: 08.11.2016
Страница №8 из 8:
Увеличить