Официальное опубликование правовых актов
ОФИЦИАЛЬНОЕ ОПУБЛИКОВАНИЕ
Приказ Министерства транспорта Российской Федерации от 10.10.2016 № 289
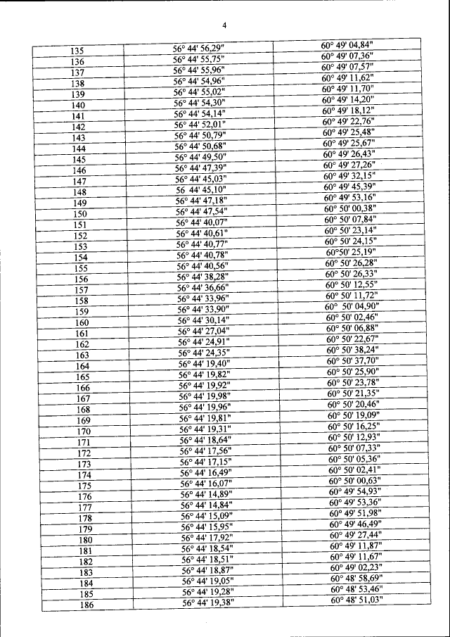
"Об утверждении пределов воздушного грузо-пассажирского постоянного многостороннего пункта пропуска через государственную границу Российской Федерации в международном аэропорту Екатеринбург (Кольцово)"
(Зарегистрирован 07.11.2016 № 44253)
Номер опубликования: 0001201611080016
Дата опубликования: 08.11.2016
Страница №5 из 22:
Увеличить