Официальное опубликование правовых актов
ОФИЦИАЛЬНОЕ ОПУБЛИКОВАНИЕ
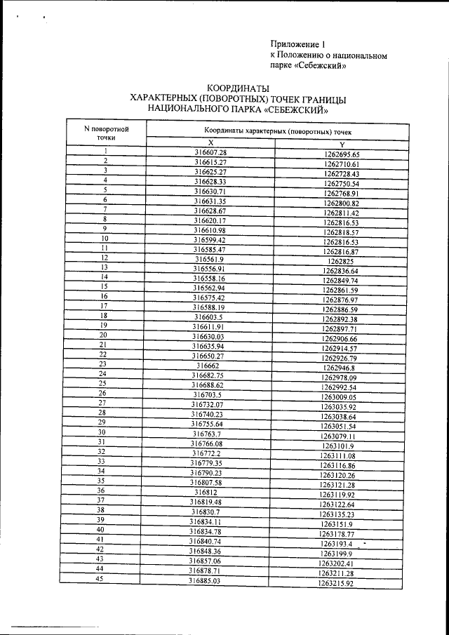
Приказ Министерства природных ресурсов и экологии Российской Федерации от 12.10.2016 № 528
"Об утверждении Положения о национальном парке "Себежский"
(Зарегистрирован 31.10.2016 № 44204)
Номер опубликования: 0001201611020003
Дата опубликования: 02.11.2016
Страница №12 из 46:
Увеличить