Официальное опубликование правовых актов
ОФИЦИАЛЬНОЕ ОПУБЛИКОВАНИЕ
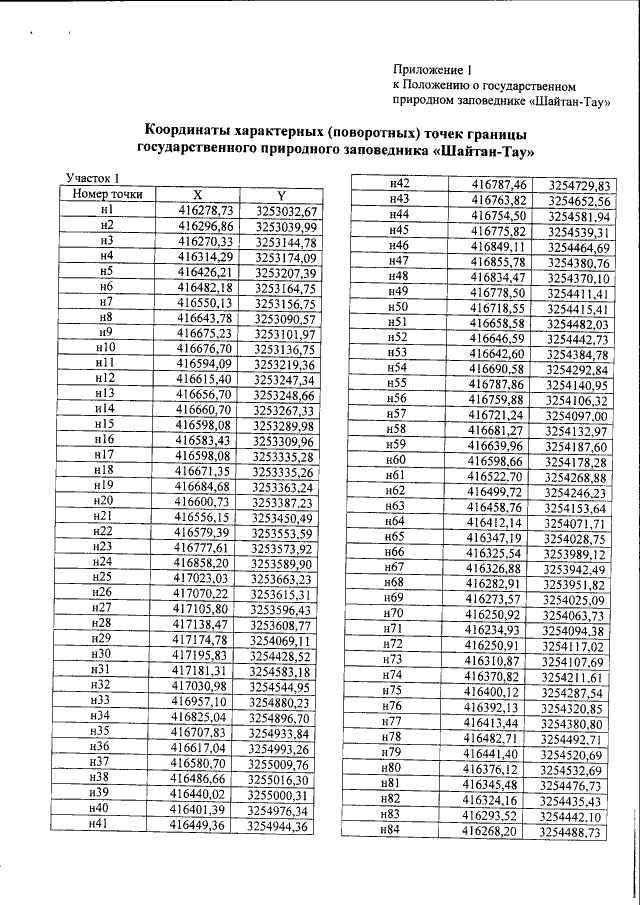
Приказ Министерства природных ресурсов и экологии Российской Федерации от 12.10.2016 № 527
"Об утверждении Положения о государственном природном заповеднике "Шайтан-Тау"
(Зарегистрирован 31.10.2016 № 44203)
Номер опубликования: 0001201611010023
Дата опубликования: 01.11.2016
Страница №9 из 53:
Увеличить