Официальное опубликование правовых актов
ОФИЦИАЛЬНОЕ ОПУБЛИКОВАНИЕ
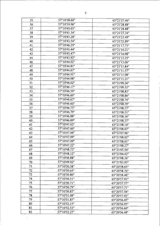
Приказ Министерства транспорта Российской Федерации от 16.08.2016 № 242
"Об утверждении пределов воздушного грузо-пассажирского постоянного многостороннего пункта пропуска через государственную границу Российской Федерации в международном аэропорту Тюмень (Рощино) (Тюменская область)"
(Зарегистрирован 13.09.2016 № 43641)
Номер опубликования: 0001201609140017
Дата опубликования: 14.09.2016
Страница №3 из 14:
Увеличить